CONTENIDO EDUCATIVO - Lista de aporte de metionina en diferentes alimentos - Errores Innatos del Metabolismo

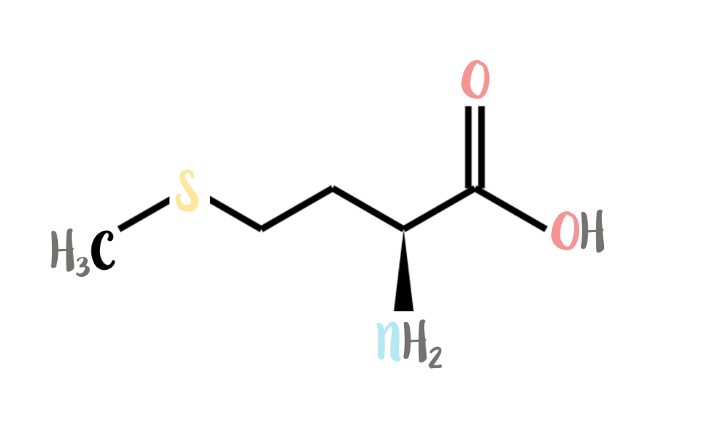
Lista de aporte de metionina en diferentes alimentos
Dada la necesidad de ofrecer información a profesionales de salud, padres y pacientes que están involucrados en el manejo de la Homocistinuria clásica, desarrollamos esta herramienta educativa, que consta de una lista de alimentos divididos en diferentes grupos (frutas, cereales, verduras, etc) e incluye el contenido de metionina, para una cantidad específica de alimento. Con esta información, esperamos ayudarle a identificar diferencias en el aporte de metionina por tipo de alimento, cuantificar y registrar el consumo de este aminoácido.
Este material, NO es una recomendación de consumo, ni sustituye las indicaciones del profesional de salud. Recuerde que el alimento permitido y la cantidad requerida, está sujeta a las indicaciones del nutricionista.
Agradecemos sus comentarios y sugerencias al correo: oyecheve@javeriana.edu.co